Resmi Gazete'de yayımlandı|Malatya'da 315 yapı tescillendi: Artık dokunmak yasak!
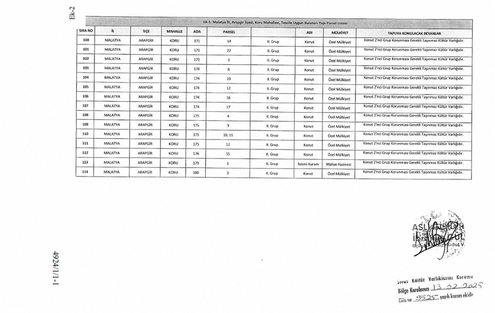
Resmi Gazete'de yayımlanan Cumhurbaşkanı Recep Tayyip Erdoğan imzalı kararla, Sivas Kültür Varlıklarını Koruma Bölge Kurulu, Malatya'nın Arapgir ilçesi Koru Mahallesinde yer alan kentsel sit alanı ve sit alanı dışında bulunan alanda 315 yapı kültür varlığı olarak tescil etti.
Kentsel sit sınırı ve diğer yapılar yerinde incelenecek
Karar eki liste 3’te bilgileri yer alan bazı yapılarla birlikte önerilen kentsel sit sınırının ise Kurul üyeleri tarafından yerinde incelendikten sonra değerlendirilmesine karar verildi. Bu inceleme tamamlanana kadar, ilgili yapılarda ve çevresinde herhangi bir zarar oluşmaması için ilgili kurumlar ve mülk sahipleri tarafından gerekli güvenlik önlemlerinin alınması istendi.
-
resmi gazete
-
kültür varlığı
-
arapgir
-
koru mahallesi
-
malatya
-
tescil edildi
-
malatya haberleri
-
malatya haber
-
malatya son dakika
Bakmadan Geçme