Malatya'da 500 bin Sosyal Konut heyecanı: Yeni ilçe açıklandı
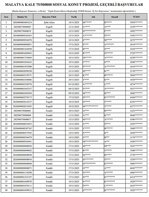
Çevre, Şehircilik ve İklim Değişikliği Bakanı Murat Kurum'un öncülüğünde yürütülen TOKİ 500 Bin Sosyal Konut Projesi kapsamında Malatya'da yapılacak kura çekimi öncesinde heyecan arttı. 17 Ocak'ta gerçekleştirilecek kura öncesi, kuraya katılacak ve başvurusu reddedilen adayların isim listeleri yayımlandı.
Özel Haber
Bakmadan Geçme
Malatya’da korkutan deprem!
Malatya’da Kayısı Satmak İçin Tüccar Tüccar Dolaşma Dönemine Son! İşte Yeni Elektronik Satış Salonu
Dikiş-nakış kursları kışın en sıcak adresi oldu…
Malatya’da zorunlu trafik sigortası primleri yükseldi: İlçe ilçe güncel primler açıklandı
Malatya’da borcu olan çiftçiler dikkat! Artık verilmeyecek…
Binlerce personel sahada! Malatya’da karla mücadelede son durum…