• Haberler
  • Gündem
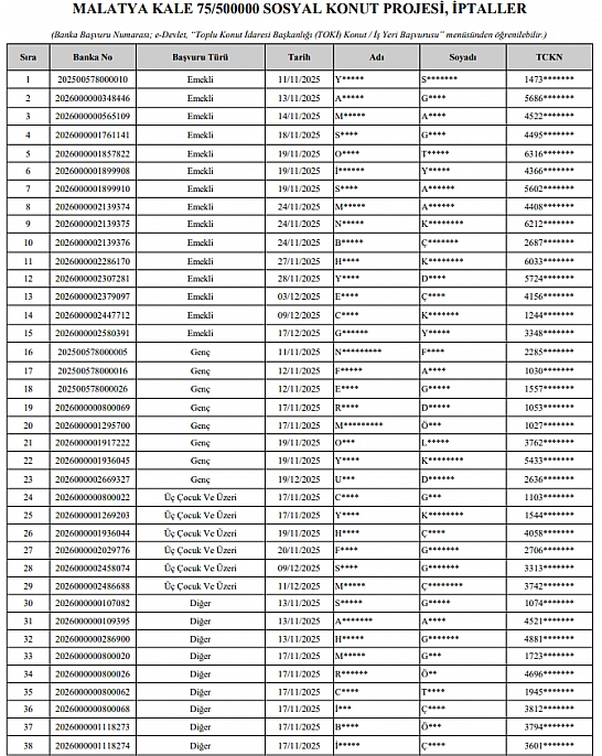
  • Malatya'da 500 bin Sosyal Konut heyecanı: Yeni ilçe açıklandı

Malatya'da 500 bin Sosyal Konut heyecanı: Yeni ilçe açıklandı

Çevre, Şehircilik ve İklim Değişikliği Bakanı Murat Kurum'un öncülüğünde yürütülen TOKİ 500 Bin Sosyal Konut Projesi kapsamında Malatya'da yapılacak kura çekimi öncesinde heyecan arttı. 17 Ocak'ta gerçekleştirilecek kura öncesi, kuraya katılacak ve başvurusu reddedilen adayların isim listeleri yayımlandı.