Cumhurbaşkanı Onayladı: Malatya Jandarma Araç Tedarikine Gidiyor!
Malatya İl Jandarma Komutanlığı, envanterindeki 89 adet aracı mübadele yoluyla satarak, yerine 11 adet sıfır kilometre Ford Courier almak için ihaleye çıkacak. İhale, 20 Kasım 2025 tarihinde açık artırma usulüyle gerçekleştirilecek.
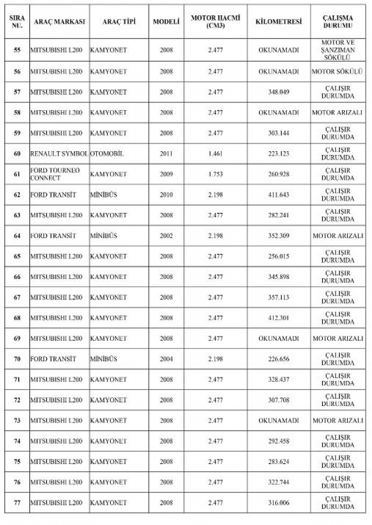
Cumhurbaşkanı Recep Tayyip Erdoğan’ın imzasıyla 4 Kasım 2025 tarihli Resmî Gazete’de yayımlanan kararla Malatya İl Jandarma Komutanlığı, hizmetinde kullanılan çalışır durum ve motor arızalı 89 adet aracı mübadele yoluyla satışa çıkarıyor.
Mübadele karşılığında, idare (Malatya İl Jandarma Komutanlığı) 11 adet 2025 Model Ford Courier Deluxe 1.5 TDCİ 100 PS araç tedarik edecek. Bu araçlar, 4458 sayılı Gümrük Kanunu'nun 167/3 maddesi hükmü gereğince ÖTV ve KDV'den muaf olarak temin edilecek.
İhaleye katılacak isteklilerin, Malatya İl Jandarma Komutanlığı adresinde bulunan ihale sayfasından ulaşılabilecek "Mübadeleye Teklif Verecek Olanların İdarece Onaylı Mübadele Dokümanı (Teklif Mektubu)" ve "Gizlilik Taahhütnamesi"ni imzalaması gerekiyor. Geçici teminat bedeli ise alınacak 11 adet araç için belirlenen 400.000,00 TL olarak duyuruldu. Mübadele karşılığı verilecek olan 89 adet aracın tahmini bedeli 13.188.333,00 TL olarak hesaplandı.
İstekliler, mübadele konusu verilecek malları (eskimiş araçları), ilan tarihinden itibaren ve mübadele tarihinden bir gün öncesine kadar mesai günlerinde 09:00-16:30 saatleri arasında Malatya İl Jandarma Komutanlığı'nda görebilecekler.
İhale Detayları
Tarih ve Saat: 20 Kasım 2025, 10:00
Yer: Malatya İl Jandarma Komutanlığı İhale Salonu (Çamurlu Mahallesi Elazığ Bulvarı No:60) açık artırma usulü mübadelesi yapılacak.
Verilecek Araçlar (89 Adet): Muhtelif marka ve cinste, işletme ve idamesi etkin olmayan araçlar.
Alınacak Araçlar (11 Adet): 2025 Model Ford Courier Deluxe 1.5 TDCİ 100 PS.
Bakmadan Geçme



